雙相不銹鋼有哪些

2019-03-0810:12:10雙相不銹鋼有哪些已關閉評論

這里所說的雙相不銹鋼是指在固溶化熱處理后,具有奧氏體和鐵素體兩相組織,并且,其中一相含量不低于25%的不銹鋼。不包括奧氏體不銹鋼中含有少量鐵素體或鐵素體不銹鋼中含有少量奧氏體的不銹鋼。

在不銹鋼家族中,雙相不銹鋼雖然是最年輕的成員,但是,由于在含Cl介質中抗點腐蝕、抗縫隙腐蝕,特別是抗應力腐蝕的高能力及良好的力學性能和工藝性能,越來越得到重視和應用。盡管在我國的不銹鋼標準中所列的鋼號不是很多,但在石油、化工,特別是海洋事業中已被廣泛應用。

一、雙相不銹鋼的分類

雙相不銹鋼通常分為四類。

1.低合金型雙相不銹鋼

這類鋼的合金成分以鉻、鎳為主,且含量偏低。點蝕當量指數PRE不大于25。

我國冷軋鋼板材料0Cr21Ni5Ti屬此類。

2.中合金型雙相不銹鋼

與低合金型雙相不銹鋼相比,加入了鉬或銅。點蝕當量指數PRE在25~35之間。

雙相不銹鋼軋材00Cr18Ni5Mo3Si2屬此類。

3.高合金型雙相不銹鋼

這類鋼有較高含量的鉻、鎳及鉬、銅等合金元素,點蝕當量指數PRE在35~40之間。

我國已大量使用的0Cr25Ni6Mo3CuN屬此類。

4.超級雙相不銹鋼

這類鋼除含有較高量的鉻、鎳、鉬、氮合金元素外,有的還加入鎢、銅元素。點蝕當量指數PRE大于40。

我國一些行業已開始應用的00Cr25Ni7Mo3.5WCuN即屬此類。

目前,在我國一些標準里列入的雙相不銹鋼的化學成分見表6-2,機械性能見表6-3。

img158

img159

雙相不銹鋼與其他不銹鋼一樣,為滿足使用的機械性能和耐腐蝕性能的要求,應當依靠正確的熱處理來保證。

雙相不銹鋼機械性能和耐腐蝕性能的改善,是通過改變雙相不銹鋼兩相的比例、兩相中合金成分及消除其他析出相來實現的。雙相不銹鋼在不同的加熱溫度和不同的冷卻條件下,對兩相比例、兩相中合金成分和析出相均產生重要的影響。這就是確定雙相不銹鋼正確熱處理的主要依據。

二、雙相不銹鋼的基本特點

1.雙相不銹鋼的成分特點

雙相不銹鋼中合金成分的確定考慮了以下幾個因素。

①保證耐腐蝕,特別是耐點腐蝕、耐縫隙腐蝕、耐應力腐蝕破裂的能力。

②保證雙相鋼的特征,即固溶處理后能具備兩相,且其中一相不少于25%。

③具有一定的強度、塑韌性。

④考慮不同合金元素之間的相同或不同的作用。

⑤考慮材料鑄造、熱處理及加工可行性。

依據上述原則,雙相不銹鋼中的主要合金元素有鉻、鎳、鉬、氮、鎢等。

(1)鉻。鉻是保證耐腐蝕的最主要元素。鉻能形成鈍化膜,并對被破壞的鈍化膜有良好的自修復能力,隨著鉻含量的提高,鋼的鈍化能力增強。

鉻對基體有明顯的固溶強化作用,隨含鉻量的增加,鋼的屈服強度提高。但會引起σ相等析出,會使塑性、韌性降低,見圖6-1和圖6-2。

img149

圖6-1 鉻對鋼力學性能的影響

從圖6-2可見,含鉻量超過30%時,沖擊韌性急劇下降。且含量越高,韌性越低,所以,從機械性能考慮,雙相不銹鋼中的鉻含量一般不大于30%。

鉻又是鐵素體形成元素,其含量的多少影響著兩相中鐵素體的比例。

img150

圖6-2 鉻對鋼沖擊韌性的影響

考慮鉻在上述各方面的作用,雙相不銹鋼中的鉻含量通常控制在18%~30%之間。

(2)鎳。鎳在雙相不銹鋼中的主要作用是調整兩相的比例,從而調整雙相不銹鋼的機械性能和耐腐蝕性能。

鎳對雙相不銹鋼機械性能的影響見圖6-3。

鎳含量過低,鋼中的鐵素體相含量多,易使脆性增大,鎳含量過高,鐵素體量少,則會因鐵素體中更富集鉻、鉬等合金元素,會促使脆相析出,同樣降低鋼的韌性,鐵素體含量少即奧氏體含量多,又會影響鋼的屈服強度。所以,考慮機械性能,鎳含量在4.5%~7.5%之間合適。

同樣的道理,為保證雙相不銹鋼有較好的耐點腐蝕能力,使組織中兩相力求接近平衡,也應用鎳含量來調整。

綜合考慮上述因素,依據鉻等其他元素含量情況,雙相不銹鋼中鎳的含量一般控制在4.0%~8.0%的范圍內。

(3)鉬。鉬在雙相不銹鋼中有與鉻相似的作用,且可以提高鈍化膜的穩定性,從而提高抗腐蝕能力。但鉬含量太高時,會促進σ相析出,增加鋼的脆性,所以,在雙相不銹鋼中,控制鉬的含量在4%以內。

img151

圖6-3 鎳對25%鉻鋼組織和力學性能的影響

1.Rm 2.Rp0.2 3.AK

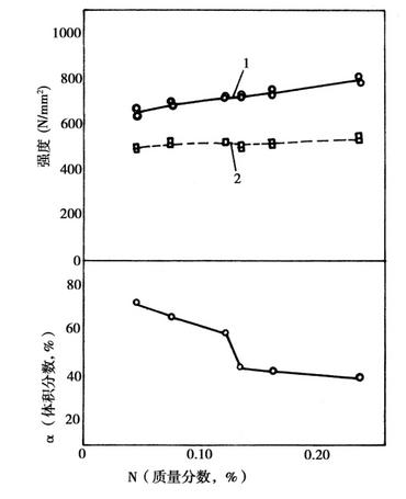
(4)氮。氮對雙相不銹鋼中奧氏體的穩定作用遠遠高于鎳的作用,盡管對氮在雙相不銹鋼中提高抗點腐蝕性能的原因有不同的解釋,但其明顯提高抗點腐蝕性能的效果是可以充分肯定的。合適的氮含量還可以通過質點析出,使雙相不銹鋼強化,提高鋼的強度。見圖6-4。

氮含量過高可能引起材料的脆化和影響冶金質量,所以,在雙相不銹鋼中,控制氮的含量不大于0.3%。

(5)鎢。鎢加入雙相不銹鋼中,是因為鎢能提高鋼的點蝕電位,從而提高鋼的抗點腐蝕能力。而從機械性能方面考慮,鎢可延緩25%鉻鋼中的脆相析出,降低鋼的脆化傾向。但當鎢含量超過4%時,反而會促進脆相析出,所以,在雙相不銹鋼中,鎢的含量不超過1%。

img152

圖6-4 氮對22%鉻鋼鐵素體和強度的影響

1.Rm 2.Rp0.2

除上述合金元素外,從提高耐腐蝕性,節約鎳元素,穩定碳等要求考慮,有的雙相不銹鋼中還適當加入錳、銅、鈦、鈮等合金元素。

在雙相不銹鋼中,各合金元素之間的作用有的相互促進,有的相互制約。所以,每種雙相不銹鋼中,合金元素及其含量的確定應滿足機械性能、耐腐蝕性能、工藝性能及兩相比例合理等條件。

2.雙相不銹鋼機械性能特點

雙相不銹鋼的兩相組織特征決定了其機械性能特征。與單相奧氏體不銹鋼和單相鐵素體不銹鋼相比,強度和硬度要高,塑性和韌性介于兩者之間。見圖6-5和表6-1。

img153

圖6-5 三類不銹鋼機械性能對比

表6-1 三種不銹鋼機械性能對比(實測值)

img154

雙相不銹鋼機械性能的這個特征是由其化學成分和兩相構成的特點決定的。

雙相不銹鋼中的一些元素,如碳、鉻、鉬、銅、氮等都可對基體組織起到強化作用,各合金元素之間的比例調整合適,還可減少脆性相的析出,保證塑性和韌性。

由于兩相的存在,相互之間制約了晶粒的長大,使雙相不銹鋼保持了細晶粒,而且,雙相不銹鋼的晶界總面積大于單相鋼,所以,雙相不銹鋼的強度,特別是屈服強度較高,并保證有一定的塑性和韌性。

雙相不銹鋼機械性能的另一特點是與兩相比例的變化有關。一般情況是隨鐵素體量的增加強度,特別是屈服強度升高;隨奧氏體量的增加,塑性和韌性升高,見圖6-6和圖6-7。

img155

圖6-6 鐵素體含量對雙相不銹鋼屈服強度的影響

1.1 9 6℃ 2.1 2 9℃ 3.7 6℃ 4.2 1℃

img156

圖6-7 奧氏體含量對雙相不銹鋼性能的影響

(a)1120℃固溶水冷[1.Rm 2.Rp0. 2 3.A(%)];(b)1120℃固溶[1.水冷 2.空冷]

當然,雙相不銹鋼兩相的比例除與化學成分有關外,還與熱處理溫度有關,見圖6-8。可見,隨加熱溫度升高,鐵素體含量比例增加。

3.雙相不銹鋼耐腐蝕性能特點

雙相不銹鋼具有優良的耐腐蝕性能,特別是在含Cl介質中的耐點腐蝕、耐縫隙腐蝕和耐應力腐蝕的能力更是優于其他類不銹鋼。雙相不銹鋼的這種耐腐蝕性能特點,與其化學成分和兩相結構有關。

雙相不銹鋼中的各合金元素都具有良好的抗腐蝕能力。鉻是提高鋼耐腐蝕的基本元素,其能形成穩定的鈍化膜,并對受到破壞的鈍化膜有強的自修復能力,在雙相不銹鋼中,鉻元素含量遠遠高于13%。鉬可以提高鈍化膜的穩定性,氮能夠促進鈍化膜的均勻性,在提高點蝕指數能力上是鉻的20~30倍。

img157

圖6-8 00Cr22Ni5Mo3N鋼溫度與α相含量的關系

雙相不銹鋼的兩相結構也有利于提高其耐腐蝕性。在雙相不銹鋼發展的最初階段,曾擔心由于鋼中兩相的成分不同和電位的差異而產生電偶腐蝕,但經過研究和實踐證明,雙相不銹鋼中的兩相只要保證各自的腐蝕電位都處于鈍化區,兩相都達到鈍化狀態,就能保證鋼具有良好的耐腐蝕性能。兩相結構使鋼的晶粒更細,晶界面積更多,降低了引起腐蝕的析出物在晶界處的濃度,并且,一旦有析出物產生,形成貧鉻區時,則會從高鉻的鐵素體相很快得到鉻的補充,恢復該處鉻的濃度。

雙相不銹鋼中的兩相可以理解為互為第二相,一旦在其中一相產生了應力腐蝕微裂紋,當這個微裂紋延伸到另一相的交界處就會受到阻礙而終止。另外,雙相不銹鋼的屈服強度比鐵素體不銹鋼和奧氏體不銹鋼高,當然,抵抗應力腐蝕的能力也高。

按化學成分評定雙相不銹鋼抗點腐蝕能力的常用標準是鋼的點蝕當量PRE。PRE值越大,鋼的抗點蝕能力越強。

常見的雙相不銹鋼點蝕當量計算公式為:

PRE(PREN)=Cr%+3.3×Mo%+16×N%

另外,還有考慮Mn、W、P+ S元素作用的公式,分別是:

 PREMn=Cr%+ 3. 3×Mo%+3 0×N%-Mn%

PRE W=Cr%+3.3×(Mo+0.5W)%+16×N%

 PREN(P+S)=Cr%+3. 3×Mo%+3 0×N%-

      123×(P+S)%

此外,評定雙相不銹鋼抗點蝕能力的標準還有臨界點蝕溫度CPT,臨界點蝕溫度越高,說明抗點蝕能力越強。

四、超級雙相不銹鋼的固溶處理

近年來,由于冶金技術水平的提高和實際需要,陸續發展了超低碳、高合金元素、低硫、低磷的超級雙相不銹鋼。超級雙相不銹鋼的PREN值一般大于40。

00Cr25Ni7Mo3.5W CuN是超級雙相不銹鋼的代表鋼號。最早由英國M&P公司開發,商業牌號為Zeron100。這種超級雙相不銹鋼在我國一些行業已廣泛應用。

00Cr25Ni7Mo3.5W CuN鋼的化學成分見表6-2,機械性能標準見表6-3。

此鋼氮的加入量為0.20%~0.30%,高于其他含氮雙相不銹鋼中的氮含量。氮與銅的共同作用增加了鋼中奧氏體的穩定性。所以,盡管00Cr25Ni7Mo3.5W CuN鋼中的鉻、鉬含量較高,其組織中的兩相比例仍能接近于50%。

鎢還能延緩脆性相的析出,降低鋼的脆化傾向,降低點腐蝕傾向,鎢與銅在400℃左右的溫度區間對鋼的基體有強化和硬化作用,提高了鋼的耐腐蝕性能。但鎢的含量不宜大于2%,過高的含鎢量將產生其他不利的影響。

由于00Cr25Ni7Mo3.5W CuN鋼中含有較高的合金元素,特別是鎢的加入,使其固溶溫度可適當提高,在實際生產中,固溶加熱溫度可選用1100~1120℃的溫度區間,加熱保溫后水冷。

超級雙相不銹鋼因其優良的耐腐蝕性能和較高的機械性能,越來越得到重視。00Cr25Ni7Mo3.5W CuN鋼鍛件熱處理后的機械性能實測數據(多件統計數據)如下。

R: 800~845N/mm2; R: 640~730N/mm2; A: 37%~mp0.2?40%; A?ku2: 170~260J。

雙相不銹鋼固溶處理工藝比較簡單,但是在實際熱處理時還應注意以下問題。

固溶加熱速度,特別是在低溫段的加熱速度應予以控制,不宜過快。一方面是因為雙相不銹鋼合金成分含量高,導熱慢,緩慢加熱有利于減少工件內外溫差和保證合金元素充分溶解,另一方面的原因是雙相不銹鋼在前期熱加工過程中(鍛、軋或鑄造),不可避免地有脆相析出,使材料變脆。如果工件尺寸大,截面變化明顯,形狀復雜又會存在較大應力,而固溶加熱速度快又產生新的應力,這些因素共同作用的結果可能造成工件熱處理裂紋。我們在雙相不銹鋼鑄件生產初期,對一些復雜大鑄件固溶加熱時,就因沒注意控制加熱速度,致使鑄件入爐后,在爐溫300℃左右便聽到鑄件的爆裂聲,在鑄件變截面處產生多處大裂紋。后來采用鑄件低溫入爐(不大于150℃裝爐),緩慢加熱(不大于40℃/h)至750℃,再隨爐升溫的加熱方式,防止了鑄件裂紋的再發生。

固溶處理的冷卻對雙相不銹鋼的耐腐蝕性能有明顯的影響,我們曾對雙相不銹鋼00Cr25Ni7Mo2N的鑄件和熱軋板材固溶冷卻對耐腐蝕性能的影響做過試驗,結果見表6-6。

表6-6 冷卻方式對00Cr25Ni7Mo2N腐蝕影響

img169

腐蝕條件:(1.5% FeCl3·6H2O+ 3% NaCl+ 20mLHAC)/L 40℃×24h

從表6-6可見,雙相不銹鋼固溶處理的冷卻方式對耐腐蝕性能的影響很大。所以,不僅對鑄件、鍛件,就是對鑄件補焊或雙相不銹鋼的焊接構件,為保證性能,也應盡量采用固溶水冷處理。

五、雙相不銹鋼消除應力處理

前面提到,雙相不銹鋼的最終熱處理以固溶處理為最好。但在有些情況下,如鑄件粗加工后的缺陷補焊、復雜的結構焊接件及施工現場不具備固溶處理條件等,這時,為減少工件應力,可采用消除應力處理。消除應力處理的溫度和保溫時間應慎重確定。應以不產生或少產生對機械性能、耐腐蝕性能的不利影響為原則。或者說,選擇在沒有碳化物、氮化物及金屬間相析出的區間。如對于00Cr25Ni7Mo4N雙相不銹鋼,根據其等溫轉變圖,見圖6-16,消除應力的溫度或選擇在200~250℃區間,或選擇在550~600℃溫度區間,但保溫時間不應大于10h。

img170

圖6-16 00Cr25Ni7Mo4N等溫轉變圖